¿Cuánta tela necesito para hacerme una falda de tablas?

Desde que publiqué el tutorial de la falda de tablas enfrentadas, uno de los primeros de mi canal de Youtube y de los que más os han gustado, me habéis preguntado muchas veces cómo se mide para saber cuantas tablas puede llevar la falda y cuánta tela es necesaria para haceros la vuestra.

Así que, hoy voy a contaros de manera clara y sencilla cómo medir para que la falda de tablas salga perfecta, sea como sea el diseño.

En primer lugar, deciros que la medida principal que hay que tomar es la del contorno de la cintura, que se toma un dedo por encima del ombligo.

Solo en caso de que queramos hacer un talle bajo o coser nuestras tablas desde la cintura hasta la cadera, tendremos que tomar también la medida del contorno de cadera y la caida de cadera.

En el caso de que la falda sea de tablas simples completa, como esta:

78c04e488f47bb4383cae6c27450ea33


Lo primero que tenemos que hacer es tomar la medida del contorno cintura y dividirla en dos, para así distribuir entre delantero y espalda, y un vez hecho esto, tomar la mitad y dividirla de nuevo, así tendremos 1/4 de la medida.

Ya con el cuarto de la medida iremos haciendo particiones hasta que lleguemos a la medida más pequeña que queremos para darle la medida a nuestra tabla.

Os voy a dar un ejemplo, para que quede un poco más claro.

Si mi medida es 85, lo primero que hago es tomer la mitad, 42 cm., y 1/4, 21,5 cm.

Una vez hecho esto sigo dividiendo entre dos, así: 10,5 cm., 5,25 cm…. y así hasta que lleguemos a un tamaño adecuado para la tabla, según la falda que queramos hacer.

Imagináos que me gustan las tablas de 5,25 cm., así ya sabré en cada cuarto de falda me caben 4 tablas, en el delantero 8 y en total 16.

IMG_20180404_123809~3.jpg


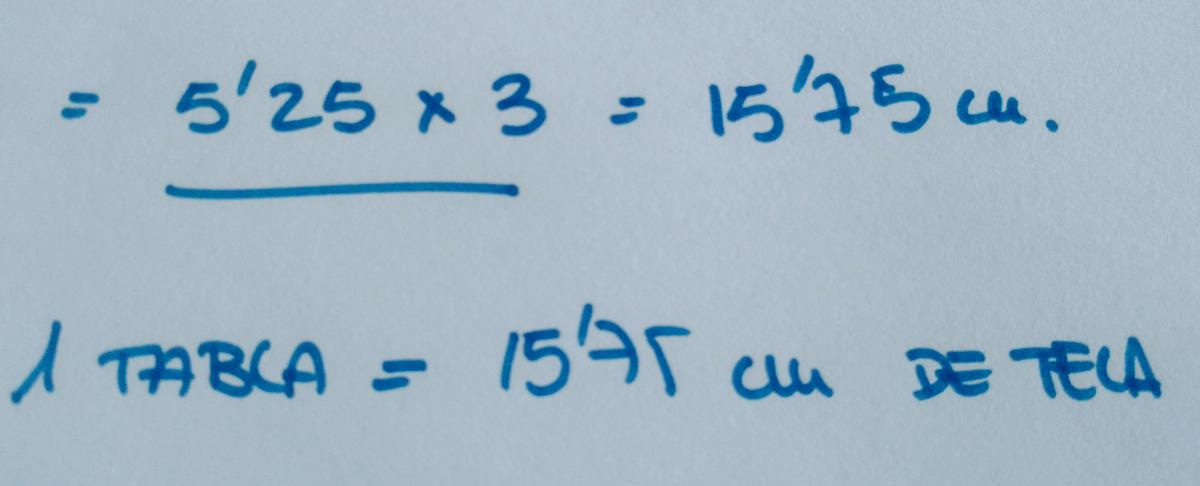
Cuando ya sé que me caben 16 tablas de 5,25 cm. tengo que tener en cuenta una cosa superimportante: cada tabla, como cualquier pliegue, ocupa su medida por tres, así.

IMG_20180404_123809.jpg


Así que, para sacar una tabla de 5,25 cm. necesítaré 15,75 cm. de tela

img_20180404_124211.jpg


Sabiendo que en mi falda, según mi cinturilla, caben 16 tablas, solo necesitaré multiplicar el 16 x 15,75 cm. y tendré la tela que necesito:

IMG_20180404_123809~4.jpg


Así que, en este caso, si la tela es de 1,50 cm. de ancho, aunque me sobrará tela, compraré dos largos y así tendré 3 metres de tela para distribuir mis tablas a lo ancho.

En caso de que queramos tablas dobles enfrentadas, como las de mi modelo de Youtube, solo tendrá que tener en cuenta que el número tablas del modelo tiene que ser par.



En el caso en el que yo quiera ahacer una falda de talle bajo, parecida a la de la foto, lo que tendría que considerar es la medida del contorno de cadera para hacer la distribución de las tablas.

41e122b539eb3f9d4647b1e45eefabe8


Si lo que quiero es coser las tablas hasta la cadera, tengo que considerar que la costura ha de hacerse en aumento respetando la medida de cintura (más pequeña) y la de la cadera (más ancha).

Y con esto, ya solo tendremos que pensar en qué modelo de falda nos gusta más, si vamos a hacerla de faldas completa, si queremos dejar los laterales sin tablas, o poner un tablón ancho en el centro, o añadir tablones en un sitio determinado del modelo y sumar siempre la medida de la tabla, el pliegue, el tablón o el plisado, por tres.

La de modelos que podemos hacer solo depende de nuestra creatividad.


Os dejo por el momento, pero pronto volveremos con modelos de primavera.

Nos vemos muy pronto

Fuente: este post proviene de DibujandoPatrones, donde puedes consultar el contenido original.
¿Vulnera este post tus derechos? Pincha aquí.
Creado:
¿Qué te ha parecido esta idea?

Esta idea proviene de:

Y estas son sus últimas ideas publicadas:

Que levante la mano quien quiera coserse mañana mismo un delantal nuevo. ¿Has levantado la mano? Pues estás de suerte. Quédate aquí conmigo y en un par de horas tendrás el delantal listo para estrenar ...

Hoy os vengo a enseñar una de las camisas más bonitas que he visto últimamente; una prenda distinta y muy especial. Un prenda con personalidad propia que os va a encantar. Es un patrón de la revista ...

Recomendamos

Relacionado

Blog Costura falda de capa ...

Seguimos descubriendo detalles de nuestra prenda del mes y hoy vamos a ver como sacar las faldas de capa, desde la completa a la falda de 1/4, usando la fórmula del cálculo del radio. Lo primero es tomarnos la medida del contorno de cintura, tal y como veis en la imagen. Una vez nos hayamos tomado la medida del contorno de cintura, calcularemos el radio a aplicar según el tipo de falda que vayamo ...

general coser diy ...

¡Holaaaaaa!Uuuf! Qué agobio de cosas por hacer! Por fín hemos sacado un rato para actualizar el blog e incluir esta nueva entrada. Dependiendo del tejido que utilicemos puede ser más o menos formal: es una clásica falda con tablas tanto en la parte delantera como en la espalda. Nosotras hemos optado por dejar las tablas sin marcar, porque la tela y la usuaria así lo requerían, pero puede hacerse m ...

ancho pinza cintura personalizada calcular ancho pinza cintura patronaje ...

Calcular pinza de cintura Hoy te voy a enseñar a calcular el ancho adecuado de pinza de cintura de falda o pantalón, es decir, un ancho de pinza personalizado. Antes de nada, es importante que sepas hacer el patrón base de falda. Por lo general, incluso en este blog lo hemos visto, se suele dar un ancho de pinza estándar. Normalmente ese ancho suelen ser 3 cms pero, según el sistema, a veces s ...

DIY Moda como hacer una falda falda de tablas ...

¡Nuevo domingo, nuevo post de costura! Como os adelantaba en el primer tutorial de la temporada, mi vida este último año ha estado llena de cambios y experiencias nuevas. Ayer tuve mi primera cena de empresa y tenía muchísimas ganas de asistir. Como siempre, aposté por un look hand made, compuesto por una falda de tablas midi, un body color maquillaje de manga larga y unos zapatos de terciopelo bu ...

ideas diy

DIY Minifalda de tablas básica en satén negro. RUMS ESPAÑA #4/15 Esta semana he cosido una minifalda de tablas básica en tela de satén negra. Me he inspirado en una foto que alguien colgó en el grupo de Facebook del Club costura&mamas, de ahí que no indique el autor de la foto. Foto de FB Club Costura&mamás Los materiales empleados son: 80 cm de tela con 140 de ancho en la tela que más te gust ...

Moda & Tendencias

https://www.youtube.com/watch?v=RKiH62prtY4 ¡Hola costuretas! Seguimos con el ciclo de los jueves de faldas sencillas y bonitas para principiantes. Hoy vamos a ver cómo tenemos que plegar el tejido para hacer una falda plisada o bien una falda de tablas. Os aseguro que el proceso es super sencillo, lo único que cambia es la forma de plegar la tela. Os voy a dejar unos croquis dónde aparece el pat ...

costura

Hola!!!! Bueno, este vídeo se me ha atrancado un poco y he tenido un colapso creativo!!! jejejeje Además, he tenido problemillas con el ordenador, específicamente con el editor de vídeos, que no ha querido funcionar :D. Nada, que cuando las cosas se complican, es mejor dejarlo, respirar hondo (una o dos veces) y luego seguir!!!! SEGUIR PARA ADELANTE!!! Independientemente, de mis atranques creativo ...

Crear coser cremallera ...

En el tutorial de hoy os voy a enseñar a hacer una falda de tablas sin necesidad de patrón, tomando únicamente tres medidas. Las faldas de tablas en todas sus versiones son una prenda que favorece a todo el mundo y que dependiendo de la tela puede servir para cualquier ocasión. Yo he elegido una tela africana preciosa que mi amiga Laura me trajo de su viaje a Mozambique y que tiene un estampado qu ...

costura falda basica moda de faldas

FALDA LINEA A CON TIRAS FRUNCIDAS Y PRETINA Articulo creado por: modazeus antes de empezar te recomiendo que aprendas a tomar medidas y te aprendas las iniciales. La falda básica con aumento y semicurva en bajo (ruedo), no lleva cierre porque es cortada en tela viscosa (con elongación) Medidas necesarias: nota: medidas para una talla 10 infantil. Contorno de cintura: (CC) 60 cm Altura de cadera: ...

costura patrones

Cuantas veces te habrás encontrado delante de la dependient@ de tu tienda de tejidos preferida con la cara desencajada a la pregunta.... Cuanta tela necesitas? Esa pregunta es la que quiero despejar, para que ganes seguridad en este mundo tan complejo y apasionante que es el de la costura. Me parece importante tener un conocimiento básico sobre las telas. Seguro que ya sabes que existen diferentes ...